![]() |
Annali di Stomatologia | 2025; 16(3): 221-233 ISSN 1971-1441 | DOI: 10.59987/ads/2025.3.221-233 Articles |
Chairside ATP assessment of root canal disinfection: a clinical evaluation of six irrigation protocols
Abstract
Introduction: Success in endodontic therapy depends on thorough disinfection of the root canal system. A tool to evaluate disinfection before obturation could help prevent treatment failures. This study introduces the Endocator ATP assay, a new chairside test for measuring root canal disinfection. This non-randomized, single-blinded controlled clinical trial assesses ATP levels in root canals after various disinfection protocols.
Methodology: A total of 1006 root canals with various endodontic diagnoses were treated using six different protocols, including Group A: Manual dynamic agitation (MDA) with 3.25% NaOCl, Group B: MDA with 5.25% NaOCl, Group C: Heated 3.25% NaOCl, Group D: Sonic EndoActivator (EA) with 3.25% NaOCl, Group E: EA with 5.25% NaOCl, and Group F: Ultrasonic (Ultra X) with 5.25% NaOCl. A superiority trial with single blinding was designed. The Endocator measured ATP levels at multiple points during the root canal.
Results: ATP values significantly decreased across all irrigation protocols, with a median drop from 5643 at baseline to 800 after cleaning and 72.5 after rinsing. Groups with higher NaOCl concentrations showed lower final ATP levels, especially with ultrasonic activation. A small group of patients needed one or two additional rounds of NaOCl activation to reach lower ATP levels.
Conclusion: A chairside ATP test effectively measures organic debris in a root canal, identifies which root canals remain contaminated, and guides disinfection strategies. ATP detection provides real-time feedback on contamination levels in a root canal and can help identify cases requiring additional disinfection.
Keywords: Endocator, Adenosine Triphosphate, EndoActivator, Ultrasonic.
Introduction
The reason for non-surgical endodontic therapy is to eliminate apical periodontitis by thoroughly disinfecting complex anatomical spaces within the root canal. Infected root canals can harbor over 500 microbial species, with 20–30 species typically observed. A review of HTS studies found that the most common bacterial phyla are Bacteroidetes, Firmicutes, Fusobacteria, Actinobacteria, and Proteobacteria. These microbial species and their byproducts reach the tissues surrounding the periapex, causing inflammation. In infected root canals and endodontically treated teeth with large cystic lesions, the incidence of intra-radicular biofilm was reported to be 80% and 74%, respectively (1).
Cases diagnosed with symptomatic infected pulp and periradicular diseases are associated with red-complex bacteria such as Porphyromonas gingivalis, Bacteroides forsythus, Treponema denticola, and Enterococcus faecalis (2). Other bacteria, such as Porphyromonas endodontalis and Tannerella forsythia, are linked with abscesses; Porphyromonas gingivalis and Parvimonas micra are associated with sinus tracts; species including Porphyromonas gingivalis and Porphyromonas endodontalis, or Parvimonas micra and Porphyromonas endodontalis, can be present with abscess and sinus tract; and a combination of Porphyromonas endodontalis, Parvimonas micra, Tannerella forsythia, and Porphyromonas gingivalis has been linked to sinus tracts (3). Polymicrobial species were observed in teeth with persistent endodontic infections (4).
PCR evaluation of type 2 diabetic patients showed that Enterococcus faecalis, P. gingivalis, and P. intermedia were the dominant microbial species at 73.3%, 70%, and 36%, respectively, compared to 53.3%, 43.3%, and 23.3%, in nondiabetic patients (5). Eubacterium infirmum, an anaerobic gram-positive bacterium, was found to be more common in the root canal system of diabetic patients (6).
The density of microbial species in the root canal is proportional to the size of the periapical lesion. On average, lesions of less than 5mm have 11.7 taxa of microbes, lesions between 5 and 10mm have 16 taxa of microbes, and lesions larger than 10mm have 20 microbes (7).
Root canal disinfection is improved with irrigants, agitation devices, and intracanal medicaments. Irrigants such as NaOCl (0.5–8.25%), EDTA (15–17%), and chlorhexidine (2%) are used alone or combined with agitation methods like ultrasonic, sonic, multi-sonic activation with a gentle wave system, laser-induced cavitation, or Manual Dynamic Agitation (MDA). These techniques effectively clean complex, uninstrumented anatomical spaces in the apical third of the teeth (8).
The decision to use intracanal medicaments depends on the stage of the periapical disease (9). A systematic review and meta-analysis of ex vivo studies found that the antibiotic paste is as effective as or better than calcium hydroxide, and combining antibiotics as an intracanal medicament does not provide improved disinfection compared to using a single antibiotic (10).
Various methods have been used to identify microbial phyla in endodontic research. Traditional culture methods have limitations, such as taking several days to grow cultures and being insensitive to discriminating among bacterial strains (11). Molecular methods like checkerboard DNA-DNA hybridization analysis, real-time PCR detection, electrophoresis in agarose gel, denaturing gradient gel electrophoresis (DGGE) analysis, Terminal restriction fragment length polymorphism (T-RFLP) analysis, reverse capture checkerboard DNA-DNA hybridization analysis, and microarray analysis have emerged as alternatives to culture methods. However, they have limitations, such as difficulty identifying isolated or multiple microbial species and the potential for false positive and negative results (12).
The viability of microorganisms, including bacteria, fungi, and protozoa, can be assessed using adenosine triphosphate (ATP). ATP bioluminescence assays have been widely applied in hospitals, the food industry, and dental waterline units (13, 14, 15). In 2015, an ATP bioluminescence assay was used in vivo to evaluate root canal disinfection, showing greater sensitivity than traditional culture methods, although the process took several minutes to complete (16). Since then, multiple in vitro studies have examined ATP as an indicator of root canal cleanliness. Cross and Gambarini tested the Endocator, a new chairside ATP detection device, with simulated plastic canals and demonstrated its effectiveness in identifying residual ATP (17). Arcuri et al. further verified the device’s reproducibility across different irrigation protocols (18). Despite these positive results, clinical validation remains limited. The current study aims to address this gap by evaluating the Endocator in a large in vivo clinical trial with a diverse patient population.
The Endocator is a new chairside device that detects ATP using a luciferase enzymatic reaction in ten seconds. Luciferin reacts with ATP to produce luciferyl-adenylate, which then reacts with oxygen and creates the excited state of oxyluciferin. This reaction emits luminescent light at 550–570nm, detected by the luminometer, with results shown in a range of 0–10,000 Relative Light Units (RLUs). A higher luminescent signal indicates higher ATP levels. Although ATP detection has been used in various medical and industrial applications, its potential as a chairside endodontic test has yet to be fully explored.
Study objective
The present study aims to measure ATP levels in the root canal during endodontic therapy using Endocator ATP testers with various irrigation protocols in a non-randomized, single-blinded controlled clinical trial.
The main goal of this study was to validate the Endocator chairside ATP test for measuring organic contamination in the root canal during endodontic treatment. The secondary goal was to compare the effectiveness of six different irrigation protocols in lowering ATP levels, as measured by the Endocator, in a non-randomized, single-blinded controlled clinical trial.
The research question of the present study (PICO Format).
Problem/population:
Patients who underwent root canal treatment at the Sibar Institute of Dental Sciences from October 2021 to April 2022.
Intervention:
irrigation using ultrasonic activation, sonic activation, NaOCl, and heated NaOCl.
Comparison:
Irrigation with 3.25% NaOCl, 5.25% NaOCl, heated NaOCl, manual dynamic agitation, sonic activation using EndoActivator, and ultrasonic activation (Ultra X).
Outcome:
Assessment of microbial load in the root canal system using Endocator
Null hypothesis:
The null hypothesis of this in vivo study states that there is no significant difference in ATP values in root canals irrigated with different protocols.
Materials and methods
This non-randomized, single-blinded controlled clinical trial was conducted to assess the effectiveness of different irrigation protocols in reducing ATP levels during endodontic therapy. The study adhered to ethical and reporting standards to ensure transparency and reliability of the results. It was approved by the institutional ethical committee of the SIBAR Institute of Dental Sciences (IECNo.Pr.68/IEC/SIBAR/2021) and registered in the Clinical Trials Registry – India (CTRI) under the number: CTRI/2022/05/042380.
Selection criteria (Table 1)
A convenience sampling method was used to recruit the patients. All patients were initially diagnosed based on the AAE endodontic diagnosis. For data analysis, irreversible pulpitis, reversible pulpitis, and typical pulps were combined into a single group called vital pulps to reduce the number of subgroups. The residents made pulp and periapical diagnoses based on clinical findings, including clinical presentation, radiographic interpretation, percussion sensitivity, response to refrigerant spray, and electric pulp testing. The presence and size of periapical radiolucencies (PARL) were determined using periapical radiographs and CBCT imaging when available. Treatment notes helped determine the vitality status of previously treated teeth. The study included maxillary, mandibular, anterior, and posterior teeth. The patient’s age ranged from 15 to 85 years. Patients were excluded if they had allergies to any drugs used during a root canal, had used analgesics or antibiotics for more than 7 days, or had teeth that could not be isolated under a rubber dam. Periodontally involved teeth, pregnant patients, and those with systemic diseases such as diabetes were also excluded.
Treatment groups
After the first ATP reading, patients were assigned to one of six irrigation protocols.
- Group A: MDA with 3.25% NaOCl
- Group B: MDA with 5.25% NaOCl
- Group C: Heated 3.25% NaOCl
- Group D: EA with 3.25% NaOCl
- Group E: EA with 5.25% NaOCl
- Group F: Ultrasonic (Ultra X) with 5.25% NaOCl
Root canal procedure
Ten endodontic residents treated all cases from the endodontics department. After administering local anesthesia with 2% lidocaine with 1:80,000 adrenaline (Lignox® 2% A), teeth were isolated with a rubber dam, and access openings were performed with an Endo access bur 21 mm, size 2 (Dentsply, Maillefer, North America). If needed, the missing wall was replaced with Neo Spectra ST HV Universal Composite Restorative (Dentsply, Konstans, Germany). The CanalPro CL2i Endo motor with an in-built apex locator (Coltene, Whaledent) was used to determine working length and for canal instrumentation. Canals were instrumented with Protaper Gold (Dentsply Tulsa Dental, Tulsa, OK, USA) to size 20 (6%) for mesial canals of mandibular molars, mesiobuccal and distobuccal canals of maxillary molars, and size 25 (6%) for distal canals of mandibular molars, palatal canals of maxillary molars. RC Help (EDTA with carbamide peroxide) (Prime dental, India) and distilled water were used as lubricants during mechanical instrumentation. Sodium hypochlorite was not used during root canal instrumentation because it can affect ATP values and was only introduced as part of the designated irrigation protocols. Protaper Gold Confirm Fit Gutta-Percha (Dentsply Tulsa Dental, Tulsa, OK, USA) and AH Plus Sealer (Dentsply Maillefer, Ballaigues, Switzerland) were used to obturate the canals. In all cases, Neo Spectra ST HV Universal Composite Restorative (Dentsply, Konstans, Germany) was used for post-endodontic restoration.
Sample collection and ATP testing
All resident operators completed a 2-hour training session before data collection, covering sample collection and the Endocator ATP test operation. For all groups, a #10 K-file was used to agitate the root canal for 10 seconds, and approximately 100 μL of the sample was collected with a 30-gauge needle. The needle was passively inserted into the canal, aspirated the sample, and dispensed into an ATP tester.
Initial ATP RLU value:
After opening the access, a few drops of distilled water were added to the pulp chamber. The sample was collected as described above.
ATP RLU value after root canal instrumentation:
No chemical irrigants were used during root canal instrumentation. Only 10 ml of distilled water was employed as an irrigant. A 30-gauge syringe was passively inserted and used to aspirate from each canal. The syringe was never positioned closer than 3mm from the apex to minimize apical fluid and blood contamination.
Final ATP RLU value:
Two milliliters of distilled water were used as the final irrigant for all groups, and the final sample was collected as described above. If canals exhibited uncontrolled bleeding and the practitioner could not dry the canal without excessive blood on the paper point, that sample was excluded from the study.
ATP RLU value after Calcium hydroxide dressing:
Canals were instrumented with the same master apical file used during root canal instrumentation. Irrigation was performed with 2 ml of NaOCl for 1 minute, followed by 2 ml of 17% EDTA for 1 minute, and then 2 ml of NaOCl for 1 minute with a 30-gauge open-ended needle. Finally, 2 ml of distilled water was used as the final irrigant, and a sample was collected as described above.
Irrigation protocols
Group A: MDA with 3.25% NaOCl
The canals were irrigated with 2 ml of 3.25% NaOCl for 1 minute, followed by 2 ml of 17% EDTA for 1 minute, and finally, 2 ml of 3.25% NaOCl for 1 minute using a 30-gauge open-ended needle. To agitate the solutions after each irrigant, a master cone gutta-percha was pumped rapidly through each canal to improve fluid movement inside them.
Group B: MDA with 5.25% NaOCl
Same irrigation protocol as Group A, but with a 5.25% concentration of NaOCl.
Group C: Heated 3.25% NaOCl
The same irrigation protocol as Group A was used, except a System B tip was activated for 10 seconds at 45°C to heat the irrigants and improve their effectiveness.
Group D: EA with 3.25% NaOCl
Same irrigation protocol as Group A, except an EndoActivator (Dentsply Sirona, India) with a medium tip (A0913 022-025) (#25/.04) was used at high speed (10,000 cycles per min) to activate all irrigants.
Group E: EA with 5.25% NaOCl
Same irrigation protocol as Group D, but with a NaOCl concentration of 5.25%.
Group F: Ultrasonic (Ultra X)
The irrigation protocol was identical to that of group E, except an ultrasonic device (Ultra X) was used at high speed to activate all irrigants for 60 seconds each.
Pre-operative pain
Pain at the time of diagnosis was assessed using the Visual Analogue Scale (VAS) to examine its relationship with ATP levels. Pain was classified as low (VAS 0–3), moderate (VAS 4–6), or high (VAS 7–10).
Blinding
This study used a single-blinded design. The patients were unaware of their ATP readings while the dentist performed the root canal, and the faculty member interpreted the ATP levels. This setup gave them full access to the ATP values and allowed them to assign patients to different treatment groups as they saw fit.
Statistical analysis
RStudio software (version 2024.09.1) was used for analysis. Median and interquartile ranges (Q1 and Q3) were used to describe numerical variables, while frequencies and percentages summarized categorical data. Median values were chosen because of outliers with high ATP levels, which could skew the mean to the right. Bar charts illustrated the final RLU values after various treatment and activation methods. Treatment reductions in ATP levels were analyzed with a Friedman test for within-group differences. Statistical comparisons between groups were made using a Wilcoxon rank test for two-category variables or a Kruskal-Wallis test for three or more categories. Significance was set at p < 0.05.
Results
Characteristics of patients
Initially, 1006 patients met the inclusion criteria. However, data from 70 patients were excluded due to missing records, including 4 with missing grouping variables and 66 with missing ATP records at different time points (10 at initial sampling, 32 after rotary instrumentation, and 24 after rinsing). As a result, 936 patients were analyzed. Most root canals (87.8%) were completed in one visit, and 83.6% were posterior teeth. Most teeth (56.4%) were necrotic, 40.2% vital, and 3.4% were retreatments. PARLs were evident in 27.8% of necrotic cases. On a scale of 0 to 10, perceived pain was rated as low, moderate, or high in 38.4%, 47.0%, and 14.6%, respectively. EA was used in 45.9% of cases, MDA in 40.7%, a heated tip in 11.5%, and an ultrasonic tip in 1.8% (Table 1).
| Characteristic | Description |
|---|---|
| Gender | |
| Male | 429 (45.8%) |
| Female | 507 (54.2%) |
| Age | |
| Mean ± SD | 38.3 ± 13.9 |
| Range | 15.0–85.0 |
| Number of visits* | |
| Single | 821 (87.8%) |
| Multiple | 114 (12.2%) |
| Pulpal status | |
| Vital | 376 (40.2%) |
| Necrotic | 528 (56.4%) |
| Retreatment | 32 (3.4%) |
| PARL# | |
| None | 381 (72.2%) |
| Present | 147 (27.8%) |
| Tooth type* | |
| Anterior | 153 (16.4%) |
| Posterior | 782 (83.6%) |
| Preoperative pain scale¥ | |
| Low (0–3) | 357 (38.4%) |
| Moderate (4–6) | 437 (47.0%) |
| High (7–10) | 136 (14.6%) |
| Activation Method of disinfectants | |
| Group A: MDA with 3.25% NaOCl | 253 (27.0%) |
| Group B: MDA with 5.25% NaOCl | 128 (13.7%) |
| Group C: Heated 3.25% NaOCl | 108 (11.5%) |
| Group D: EA 3.25% NaOCl | 31 (3.3%) |
| Group E EA 5.25% NaOCl | 399 (42.6%) |
| Group F: Ultrasonic 5.25% NaOCl | 17 (1.8%) |
n (%)
*The variable had one missing record
¥The variable had 6 missing records
#Descriptive statistics are based on 528 patients with necrotic teeth
Characteristics of ATP values
The median ATP value for all patients at baseline was 5643, which decreased significantly to 800 after cleaning and 72.5 after rinsing, with a statistically significant change in ATP levels over time (Friedman’s test p < 0.001, Figure 1).
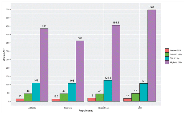
After the final rinse, the lowest median ATP quartile was 15 for all treatment groups, increasing to 46, 109, and 435 in the second, third, and fourth quartiles, respectively. This significant variation in final ATP values remained consistent across all preoperative pulpal statuses (Figure 2).
The highest median ATP value was recorded for the heated NaOCl group at 224, followed by the MDA groups with 122 for 3.25% NaOCl and 77.5 for 5.25% NaOCl. The median ATP values were relatively lower for the EA groups, with 38 for 3.25% NaOCl and 49 for 5.25% NaOCl, and the lowest was observed in the ultrasonic group at 21. The differences in ATP values among groups after the final rinse were statistically significant (p<0.001, Table 2 and Figure 3).
| Characteristic | Time point | |||
|---|---|---|---|---|
| Initial | After rotary | After NaOCl activation | p-value* | |
| Group | ||||
| Group A | 3,137 (1,234, 7,049) | 758 (281, 2,010) | 122 (47, 350) | <0.001 |
| Group B | 6,844 (3,917, 8,126) | 872 (476, 1,874) | 78 (28, 171) | <0.001 |
| Group C | 5,618 (1,637, 7,764) | 1,172 (360, 3,203) | 224 (47, 976) | <0.001 |
| Group D | 2,713 (1,219, 6,626) | 571 (290, 1,204) | 38 (19, 80) | <0.001 |
| Group E | 6,113 (2,899, 7,912) | 791 (394, 1,291) | 49 (24, 99) | <0.001 |
| Group F | 7,719 (5,291, 8,296) | 1,219 (570, 1,911) | 21 (11, 98) | <0.001 |
| p-value for subgroups¥ | <0.001 | 0.042 | <0.001 | |
| Number of visits | ||||
| Single | 5,611 (2,158, 7,653) | 740 (349, 1,420) | 64 (26, 153) | <0.001 |
| Multiple | 6,253 (2,749, 8,129) | 1,956 (981, 4,502) | 177 (65, 838) | <0.001 |
| p-value for subgroups¥ | 0.027 | <0.001 | <0.001 | |
| Pulpal status | ||||
| Vital | 5,479 (2,160, 7,526) | 824 (399, 1,652) | 79 (30, 231) | <0.001 |
| Necrotic | 6,002 (2,205, 7,945) | 781 (342, 1,692) | 69 (26, 152) | <0.001 |
| Retreatment | 3,841 (1,562, 7,722) | 1,061 (435, 2,311) | 106 (42, 187) | <0.001 |
| p-value for subgroups¥ | 0.243 | 0.336 | 0.016 | |
| PARL§ | ||||
| None | 5,791 (2,198, 7,929) | 766 (320, 1,429) | 62 (24, 129) | <0.001 |
| Present | 6,197 (2,470, 8,034) | 795 (371, 2,107) | 84 (35, 211) | <0.001 |
| p-value for subgroups¥ | 0.742 | 0.241 | <0.001 | |
| Tooth type | ||||
| Anterior | 5,113 (1,765, 7,621) | 633 (281, 1,548) | 72 (28, 151) | <0.001 |
| Posterior | 5,766 (2,207, 7,813) | 816 (394, 1,729) | 73 (27, 181) | <0.001 |
| p-value for subgroups¥ | 0.107 | 0.016 | 0.755 | |
| Preoperative pain scale | ||||
| Low (0–3) | 5,103 (1,765, 7,611) | 766 (349, 1,470) | 72 (26, 172) | <0.001 |
| Moderate (4–6) | 5,791 (2,431, 7,798) | 839 (363, 1,776) | 77 (30, 180) | <0.001 |
| High (7–10) | 6,733 (2,901, 8,048) | 768 (421, 1,929) | 63 (24, 154) | <0.001 |
| p-value for subgroups¥ | 0.005 | 0.753 | 0.010 | |
Data are expressed as Median (Q1, Q3)
*Friedman test for temporal changes
¥Between-group differences were assessed using a Wilcoxon rank test or a Kruskal-Wallis test
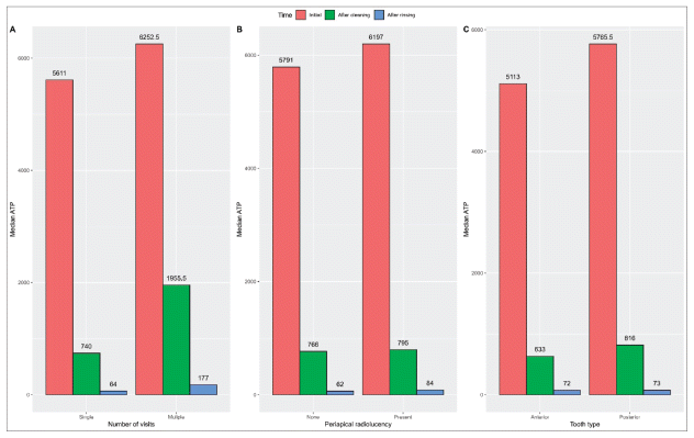
Statistics are based on 528 records of necrotic teeth. Considering the number of visits, patients with a single visit showed decreasing median ATP values of 5611 at access, 740 after rotary, and 64 after rinsing. Patients requiring multiple visits had median ATP values of 6253, 1956, and 177, respectively. The decrease in ATP values from initial access to final rinse was statistically significant (p < 0.001, Figure 4A). Patients without a PARL had median ATP values of 5791, 766, and 62, respectively (p < 0.001), as did those with a PARL, with median ATP values of 6197, 795, and 84, respectively (p < 0.001, Figure 4B). Similarly, decreases in ATP values were significant for root canals in anterior and posterior teeth: median ATP values for anterior teeth were 5113, 633, and 72 (p < 0.001), and for posterior teeth, 5766, 816, and 73 (p < 0.001, Figure 4C).
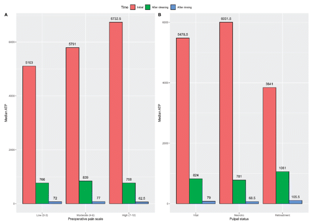
ATP levels decreased significantly during root canal therapy across all pain scales. Median ATP levels dropped significantly at the initial visit, after cleaning, and after rinsing in patients with low perceived pain (5103, 766, and 72, respectively, p < 0.001), as well as those with moderate perceived pain (5791, 839, and 77, respectively, p < 0.001) and severe pain (6733, 768, and 63, respectively, p < 0.001, Figure 5A). Interestingly, although patients with the highest preoperative pain had the highest ATP levels upon access, they also showed the lowest final ATP levels after rinsing.
ATP reduction was also significant for those with vital pulps (5479, 824, and 79, respectively, p < 0.001), necrotic pulps (6002, 781, and 69, respectively, p < 0.001), and retreatment cases (median ATP values were 3841, 1061, and 106, respectively, p < 0.001, Figure 5B). While retreatment cases had the lowest ATP levels (3841) upon access opening of the root canal, they also had the highest final ATP values after the last rinse (105.5).
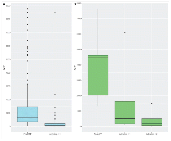
A total of 190 patients required one additional round of NaOCl disinfection to lower their final ATP levels. The median ATP value for those patients who received an extra activation round decreased significantly from 689 to 64 RLU (Friedman’s test p < 0.001, Figure 6A). Additionally, 15 patients still had high ATP levels after the extra activation. For these 15 patients, the median ATP values decreased significantly from the final rinse (median = 4452) to the first additional activation (median = 513), and then to the second additional activation (median = 181, Friedman’s test p = 0.008, Figure 6B).
Discussion
The microbial load varies across different clinical situations. The average number of microbial species ranges from 10–30 to 100 phylotypes per canal. The number of microbial species correlates with the size of the periapical lesion. In teeth with asymptomatic apical periodontitis, bacterial counts are between 10^3 and 10^8 in the entire root canal and between 10^4 and 10^6 in the apical canal. In cases of acute apical abscess, bacterial counts range from 10^4 to 10^9. Conversely, in teeth treated with root canal therapy, bacterial counts are between 10^3 and 10^7 in the entire root canal and between 10^3 and 10^4 in the apical canal (19). Although endodontic therapy aims to thoroughly disinfect and remove the microbial biofilm from the root canal system, culture techniques and molecular methods for microbial evaluation are time-consuming and technique-sensitive, limiting their routine use. Single-visit endodontic therapy offers advantages such as saving time for both operator and patient (20), being less expensive (21), and being more convenient for patients with temporomandibular disorders (22). In contrast, multiple-visit endodontic therapy is recommended for teeth with uncontrolled bleeding or pus discharge from the root canal (22). Whether using single-visit or multiple-visit treatment, the root canal should ideally be sterile before obturation. However, a negative culture prior to obturation does not guarantee healing in all cases (23, 24). To overcome this limitation, the present in-vivo study assessed the ATP Endocator, a chairside ATP assay that detects ATP in the presence of microbes. The results showed that this method can be used chairside to evaluate cellular contamination in the root canal system before three-dimensional obturation.
The success of root canal treatment primarily depends on effectively eliminating microorganisms. However, there is no consensus on the best methods to evaluate persistent bacteria after therapy. In this study, Endocator ATP testing was employed as a quick and direct way to detect microbial presence. The notable decrease in ATP values over time across different protocols strongly indicates the system’s sensitivity in assessing disinfection success. A previous study also emphasized the sensitivity and specificity of ATP assays in detecting microbial loads as low as 10 to 100 bacterial cells (16). Additionally, the ATP system is user-friendly and provides rapid feedback, which can improve microbial control precision and guide irrigation techniques. This is supported by evidence in the literature highlighting the role of ATP systems in real-time monitoring of microbial levels (16). Consequently, the ATP assay could be a valuable tool for quickly determining the level of root canal disinfection.
The results of the current study mirror previous findings that demonstrated the superior disinfection efficacy of ultrasonic activation with 5.25% NaOCl (25). The EA groups showed the next highest effectiveness, followed by MDA groups and, lastly, the heated NaOCl group. Consistent with earlier studies, this study also indicates that the antibacterial performance is significantly enhanced by higher NaOCl (26) concentrations across various agitation methods, although within the EA group, 3.25% showed slightly lower ATP values than 5.25%. Earlier studies (27) have also found that higher concentrations of sodium hypochlorite are more effective at reducing bacteria from the dentinal tubules. Furthermore, a recent analysis of 60 patients with pulpitis (28) showed that NaOCl has the maximum antibacterial activity to remove biofilm from root canals compared to other endodontic irrigants, such as chlorhexidine, povidone iodine, and curcumin. Nevertheless, while high concentrations are more effective, it is important to mitigate the risk of tissue irritation by optimizing delivery systems, such as ultrasonic activation (25). These observations highlight the importance of NaOCl concentration and activation methods for achieving optimal endodontic disinfection.
In the current study, lower ATP values were achieved with sonic activation of 3.25% NaOCl compared to the 5.25% MDA group. This finding demonstrates the superior cleaning ability of sonic activation over manual activation, even at lower NaOCl concentrations. Heating the 3.25% NaOCl to 45°C reduced the ATP values but was less effective than other activation methods. This may be due to the rapid decrease of temperature to 37°C (29), i.e., rapid temperature buffering (30, 31), after intra-canal delivery of NaOCl. These findings align with previous studies that also showed higher NaOCl concentrations and ultrasonic activation result in greater microbial reduction due to improved irrigant penetration and biofilm disruption (25).
The present study showed that higher preoperative pain levels were linked to higher initial ATP levels. This aligns with a previous investigation (32), which found a connection between microbial load and pain severity, with more intense pain symptoms linked to specific bacterial species such as Porphyromonas gingivalis and Peptostreptococcus micros. Acute pain mainly results from inflammatory reactions caused by microbial metabolites, especially lipopolysaccharides from Gram-negative bacteria, as demonstrated in teeth with symptomatic apical periodontitis (33). These findings emphasize the effectiveness of irrigation systems in managing high microbial loads in patients experiencing severe pain and highlight the need for personalized disinfection approaches to reduce microbial numbers and ease symptoms.
Recorded median final RLU values after rinsing were lowest for ultrasonic activation with 5.25% NaOCl (21), followed by EA with 3.25% NaOCl (38) and 5.25% NaOCl (49), MDA with 5.25% (77.5) and 3.25% NaOCl (122), and finally heated 3.25% NaOCl (224) (Figure 3). Acoustic streaming and transient acoustic cavitation generated by ultrasonic agitation at ~30 kHz produce shockwaves and create higher shear stress at the root canal wall (34, 35). Sonochemical effects caused by increased temperature and pressure, along with the kinetic energy, are converted into heat, enhancing the chemical reactions of the irrigant solutions and eliminating even the persister cells in the biofilm (8). This may explain the lower ATP values recorded in the ultrasonic group after agitation.
For cases with high ATP levels at the end of root canal treatment, an additional round of NaOCl soaking and activation significantly reduced median ATP values from 689 to 64 (Figure 6), highlighting the effectiveness of supplemental NaOCl activation for further biofilm disruption and removal (36). For 15 patients with elevated ATP levels after an additional activation, a second round of activation led to a sharp reduction in ATP levels, indicating that some teeth may require repeated interventions to eliminate resistant biofilms and achieve the right balance between minimal invasiveness and sufficient microbial removal. This is especially important for necrotic cases, which often involve polymicrobial colonies resistant to disinfection (37). The use of the chair-side ATP system provides rapid feedback, enabling the implementation of tailored disinfection strategies for patients with a high microbial load to verify canal cleanliness. Confirming adequate disinfection could also allow for more single-visit treatments without compromising success rates, but further research is needed to determine if final ATP levels correlate with treatment success.
Our findings seem to confirm that ATP assays can be used as a quantitative tool to evaluate microbial reduction within a clinically relevant timeframe compared to traditional cultures. The ATP system in this study provided real-time feedback, offering an optimal method of viable bacterial detection within seconds. In contrast, culture methods typically require three days or more for results (38). The rapid results and the nearly ubiquitous presence of ATP in living cells make ATP a valuable tool for assessing disinfection levels in endodontics. Recent studies have further validated the reliability of ATP-based assessments for canal cleanliness. For example, Gambarini demonstrated that the Endocator could reliably evaluate ATP levels in simulated root canals and effectively measure residual organic matter remaining in the plastic block (17). Similarly, Arcuri et al. conducted an in vitro evaluation of ATP levels using the Endocator and confirmed its sensitivity and reproducibility across different agitation methods (18). In a clinical setting, Basam et al. recently completed a randomized clinical trial comparing sonic activation to passive irrigation and found that ATP values were significantly lower with sonic agitation, highlighting the usefulness of ATP in determining the effectiveness of various endodontic activation methods (39).
This applies to complex and necrotic cases that need multiple or enhanced disinfection sessions. However, more clinical trials comparing different irrigation protocols with agitation devices will improve the reliability of the Endocator system. Also, future studies on difficult and necrotic cases may provide new insights into microbial loads and patient outcomes.
It is important to note that the study was initially designed as a double-blind trial; however, early in the study, ethical concerns arose regarding the obturation of canals with persistently high ATP levels. To address this concern, the study was changed to a cohort design, allowing clinicians to adjust treatment protocols and NaOCl concentrations based on ATP findings.
Limitations
An observed limitation of the ATP-based chairside test was its potential for false positives caused by blood contamination in the canal. When bleeding or apical fluid was present, the dentist first attempted to control the bleeding. However, in cases of excessive bleeding where controlling the bleeding was not possible, the ATP value was not recorded, and the patient data from these cases were excluded from the final analysis. Thus, while we found the Endocator to be a useful tool for gauging disinfection levels, there may be false positives, and we concluded that it was not possible to use the Endocator to verify disinfection in every case.
Additionally, the non-randomized design and convenience-based group assignment may have introduced selection bias, as the ATP readings were significantly higher in the ultrasonic group and the heated NaOCl groups. This could have caused the residents to assign patients to different groups based on the perceived level of remaining infection in the root canal, explaining the variation in ATP levels before group assignment as well as the uneven group sizes. There is also a risk of false negatives because the Endocator ATP assay samples from the main part of the canals, not the dentinal tubules themselves. Although a dental hand file was used to agitate the canal walls and help dislodge biofilm into the main canal for sampling, there remains a possibility that the lumen of a canal could be clean while the dentinal walls stay contaminated.
Conclusion
The current study evaluated the effectiveness of six irrigation protocols in lowering microbial load during root canal treatment using a chairside ATP system. All six test groups showed successful disinfection, evidenced by a significant decrease in ATP values from baseline to the final rinse. Additionally, the reduction in ATP levels from baseline to the final visit after rinsing was considerably greater in patients experiencing severe pain, indicating a possible link between higher microbial load and pain severity.
While these findings emphasize the importance of ATP-assisted microbial assessment during endodontic treatment, additional validation is necessary. Future double-blinded studies with equal group sizes and long-term radiographic follow-up are required to verify the clinical significance of ATP scores and their relationship with radiographic healing and outcomes.
The present study offered valuable insights into the use of the Endocator ATP system for guiding disinfection, especially in necrotic and complex cases, as well as those requiring additional NaOCl soakings to break down microbial biofilms. The ATP system proved to be an essential tool for quick microbial assessments, facilitating efficient disinfection management and speeding up root canal treatment even in difficult cases. These findings highlight the importance of combining 5.25% NaOCl protocols with optimized activation techniques and ATP-supported microbial evaluation as part of routine endodontic practice. This approach could improve disinfection effectiveness, enhance clinical outcomes, and shorten treatment times. The promising benefits of the ATP system might reinforce its vital role in assessing disinfection practices and ensuring thorough microbial control in endodontics.
Acknowledgments
We would like to thank Endocator Inc. for providing the Endocator with the ATP testers and Dentsply Sirona for providing the Endoactivator.
Thanks to Dr. L. Krishna Prasad, Dean, Sibar Institute of Dental Sciences for his constant support.
Conflicts of Interest
The authors report that a financial affiliation exists for this paper. One of the authors, Randoph Cross, has several patents related to ATP testing in endodontics and is a majority shareholder in Endocator Inc. an endodontic company specialized in chairside ATP testing. The authors declare no other conflicts of interest.
References
- 1. Ricucci, D.; Siqueira, J. F., Biofilms and Apical Periodontitis: Study of Prevalence and Association with Clinical and Histopathologic Findings. Journal of Endodontics 2010, 36, (8), 1277–1288. https://doi.org/10.1016/j.joen.2010.04.007
- 2. Singh, K. K.; Kumar, P.; Das, P.; Marandi, M.; Panda, S.; Mahajan, A.; Kumar, D., Association of specific microorganisms with endodontic signs and symptoms. A comparative study. Journal of Family Medicine and Primary Care 2020, 9, (8), 3965–3969. DOI: 10.4103/jfmpc.jfmpc_523_20 https://doi.org/10.4103/jfmpc.jfmpc_523_20
- 3. Qi, Z.; Cao, H.; Jiang, H.; Zhao, J.; Tang, Z., Combinations of bacterial species associated with symptomatic endodontic infections in a Chinese population. International Endodontic Journal 2015, 49, (1), 17–25. https://doi.org/10.1111/iej.12428
- 4. Pinto, K. P.; Barbosa, A. F. A.; Silva, E. J. N. L.; Santos, A. P. P.; Sassone, L. M., What Is the Microbial Profile in Persistent Endodontic Infections? A Scoping Review. Journal of Endodontics 2023, 49, (7), 786–798.e7. https://doi.org/10.1016/j.joen.2023.05.010
- 5. Nair, R.; Nayak, M.; Prasada, L.; Nair, A.; Soman, D.; Krishnan, R., PCR-based detection of three anaerobic bacteria associated with endodontic-periodontic lesions in type-2 diabetic and nondiabetic subjects. Journal of Conservative Dentistry 2019, 22, (5), 430. https://doi.org/10.4103/JCD.JCD_326_19
- 6. Fouad, A. F.; Kum, K. Y.; Clawson, M. L.; Barry, J.; Abenoja, C.; Zhu, Q.; Caimano, M.; Radolf, J. D., Molecular characterization of the presence of <i>Eubacterium</i> spp. and <i>Streptococcus</i> spp. in endodontic infections. Oral Microbiology and Immunology 2003, 18, (4), 249–255. https://doi.org/10.1034/j.1399-302X.2003.00077.x
- 7. Rôças, I. N.; Siqueira, J. F., Root Canal Microbiota of Teeth with Chronic Apical Periodontitis. Journal of Clinical Microbiology 2008, 46, (11), 3599–3606. https://doi.org/10.1128/JCM.00431-08
- 8. Boutsioukis, C.; Arias-Moliz, M. T., Present status and future directions - irrigants and irrigation methods. International Endodontic Journal 2022, 55, (S3), 588–612. https://doi.org/10.1111/iej.13739
- 9. Ordinola-\Zapata, R.; Noblett, W. C.; Perez-Ron, A.; Ye, Z.; Vera, J., Present status and future directions of intracanal medicaments. International Endodontic Journal 2022, 55, (S3), 613–636. https://doi.org/10.1111/iej.13731
- 10. Vatankhah, M.; Khosravi, K.; Zargar, N.; Shirvani, A.; Nekoofar, M. H.; Dianat, O., Antibacterial efficacy of antibiotic pastes versus calcium hydroxide intracanal dressing: A systematic review and meta-analysis of: ex vivo: studies. Journal of Conservative Dentistry 2022, 25, (5), 463–480. https://doi.org/10.4103/jcd.jcd_183_22
- 11. Relman, D., Emerging infections and newly-recognised pathogens. The Netherlands Journal of Medicine 1997, 50, (5), 216–220. https://doi.org/10.1016/S0300-2977(97)00016-8
- 12. Siqueirajr, J.; Rocas, I., Exploiting Molecular Methods to Explore Endodontic Infections: Part 1-Current Molecular Technologies for Microbiological Diagnosis. Journal of Endodontics 2005, 31, (6), 411–423. https://doi.org/10.1097/01.don.0000157989.44949.26
- 13. Alfa, M. J.; Olson, N.; Murray, B. L., Adenosine tri-phosphate (ATP)-based cleaning monitoring in health care: how rapidly does environmental ATP deteriorate? Journal of Hospital Infection 2015, 90, (1), 59–65. https://doi.org/10.1016/j.jhin.2015.01.020
- 14. Osimani, A.; Garofalo, C.; Clementi, F.; Tavoletti, S.; Aquilanti, L., Bioluminescence ATP Monitoring for the Routine Assessment of Food Contact Surface Cleanliness in a University Canteen. International Journal of Environmental Research and Public Health 2014, 11, (10), 10824–10837. https://doi.org/10.3390/ijerph111010824
- 15. Watanabe, A.; Tamaki, N.; Yokota, K.; Matsuyama, M.; Kokeguchi, S., Monitoring of bacterial contamination of dental unit water lines using adenosine triphosphate bioluminescence. Journal of Hospital Infection 2016, 94, (4), 393–396. https://doi.org/10.1016/j.jhin.2016.08.001
- 16. Tan, K. S.; Yu, V. S. H.; Quah, S. Y.; Bergenholtz, G., Rapid Method for the Detection of Root Canal Bacteria in Endodontic Therapy. Journal of Endodontics 2015, 41, (4), 447–450. https://doi.org/10.1016/j.joen.2014.11.025
- 17. Cross, R.; Gambarini, G., In vitro evaluation of a new endodontic device for assessment of canal cleanliness. Annali di Stomatologia 2024, 15(1), 49–54. https://doi.org/10.59987/ads/2024.1.49-54 https://doi.org/10.59987/ads/2024.1.49-54
- 18. Arcuri, L.; Gambarini, G.; Zanza, A.; Testarelli, L.; Arcuri, C.; Cross, R.; Galli, M., Experimental Evaluation of a Novel Device to Quantify Canal Cleanliness: An In Vitro Study. Oral 2024, 4(2), 163–172. https://doi.org/1https://doi.org/10.3390/oral4020013
- 19. Siqueira, J. F.; Rôças, I. N., Present status and future directions: Microbiology of endodontic infections. International Endodontic Journal 2022, 55, (S3), 512–530. https://doi.org/10.1111/iej.13677
- 20. Oliet, S., Single-visit endodontics: A clinical study. Journal of Endodontics 1983, 9, (4), 147–152. https://doi.org/10.1016/S0099-2399(83)80036-3
- 21. Schwendicke, F.; Göstemeyer, G., Cost-effectiveness of Single-Versus Multistep Root Canal Treatment. Journal of Endodontics 2016, 42, (10), 1446–1452. https://doi.org/10.1016/j.joen.2016.06.013
- 22. Chu, C.-H.; Wong, A.; Zhang, C., A systematic review of nonsurgical single-visit versus multiple-visit endodontic treatment. Clinical, Cosmetic and Investigational Dentistry 2014, 45. https://doi.org/10.2147/CCIDE.S61487
- 23. Trope, M.; Delano, E. O.; Ørstavik, D., Endodontic treatment of teeth with apical periodontitis: Single vs. Multivisit treatment. Journal of Endodontics 1999, 25, (5), 345–350. https://doi.org/10.1016/S0099-2399(06)81169-6
- 24. Weiger, R.; Rosendahl, R.; Löst, C., Influence of calcium hydroxide intracanal dressings on the prognosis of teeth with endodontically induced periapical lesions. International Endodontic Journal 2000, 33, (3), 219–226. https://doi.org/10.1046/j.1365-2591.1999.00298.x
- 25. Aveiro, E.; Chiarelli-Neto, V. M.; de-Jesus-Soares, A.; Zaia, A. A.; Ferraz, C. C. R.; Almeida, J. F. A.; Marciano, M. A.; Feres, M.; Gomes, B. P. F. A., Efficacy of reciprocating and ultrasonic activation of 6% sodium hypochlorite in the reduction of microbial content and virulence factors in teeth with primary endodontic infection. International Endodontic Journal 2020, 53, (5), 604–618. https://doi.org/10.1111/iej.13261
- 26. Petridis, X.; Busanello, F. H.; So, M. V. R.; Dijkstra, R. J. B.; Sharma, P. K.; van der Sluis, L. W. M., Chemical efficacy of several NaOCl concentrations on biofilms of different architecture: new insights on NaOCl working mechanisms. International Endodontic Journal 2019, 52, (12), 1773–1788. https://doi.org/10.1111/iej.13198
- 27. Berber, V. B.; Gomes, B. P.; Sena, N. T.; Vianna, M. E.; Ferraz, C. C.; Zaia, A. A.; Souza-Filho, F. J., Efficacy of various concentrations of NaOCl and instrumentation techniques in reducing Enterococcus faecalis within root canals and dentinal tubules. Int Endod J 2006, 39, (1), 10–7. https://doi.org/10.1111/j.1365-2591.2005.01038.x
- 28. Alghamdi, N.; Das, B.; Hugar, S. I.; Sarangi, P.; Garg, G.; Kamatchi Subramani, S., Comparing the Biofilm Removal Capacity of NaOCl, Povidone-Iodine, Chlorhexidine, Curcumin, and Triphala as Endodontic Irrigants. Cureus 2024, 16, (1), e52067. https://doi.org/10.7759/cureus.52067
- 29. de Hemptinne, F.; Slaus, G.; Vandendael, M.; Jacquet, W.; De Moor, R. J.; Bottenberg, P., In Vivo Intracanal Temperature Evolution during Endodontic Treatment after the Injection of Room Temperature or Preheated Sodium Hypochlorite. Journal of Endodontics 2015, 41, (7), 1112–1115. https://doi.org/10.1016/j.joen.2015.02.011
- 30. Bartolo, A.; Koyess, E.; Camilleri, J.; Micallef, C., Model assessing thermal changes during high temperature root canal irrigation. Healthcare Technology Letters 2016, 3, (3), 247–251. https://doi.org/10.1049/htl.2016.0008
- 31. Leonardi, D. P.; Grande, N. M.; Tomazinho, F. S. F.; Marques-da-Silva, B.; Gonzaga, C. C.; Baratto-Filho, F.; Plotino, G., Influence of activation mode and preheating on intracanal irrigant temperature. Australian Endodontic Journal 2019, 45, (3), 373–377. https://doi.org/10.1111/aej.12336
- 32. Gomes, B. P. F. A.; Pinheiro, E. T.; Gadê-Neto, C. R.; Sousa, E. L. R.; Ferraz, C. C. R.; Zaia, A. A.; Teixeira, F. B.; Souza-Filho, F. J., Microbiological examination of infected dental root canals. Oral microbiology and immunology 2004, 19, (2), 71–76. https://doi.org/10.1046/j.0902-0055.2003.00116.x
- 33. Gabrielli, E. S.; Lima, A. R.; Francisco, P. A.; Herrera, D. R.; de-Jesus-Soares, A.; Ferraz, C. C. R.; Almeida, J. F. A.; Marciano, M. A.; Gomes, B. P. F. A., Comparative analysis of bacterial content, levels of lipopolysaccharides and lipoteichoic acid in symptomatic and asymptomatic endodontic infections at different stages of endodontic treatment. Clinical Oral Investigations 2022, 26, (1), 287–302. https://doi.org/10.1007/s00784-021-03998-2
- 34. Jiang, L.-M.; Verhaagen, B.; Versluis, M.; van der Sluis, L. W. M., Evaluation of a Sonic Device Designed to Activate Irrigant in the Root Canal. Journal of Endodontics 2010, 36, (1), 143–146. https://doi.org/10.1016/j.joen.2009.06.009
- 35. Verhaagen, B.; Boutsioukis, C.; van der Sluis, L. W. M.; Versluis, M., Acoustic streaming induced by an ultrasonically oscillating endodontic file. The Journal of the Acoustical Society of America 2014, 135, (4), 1717–1730. https://doi.org/10.1121/1.4868397
- 36. Vianna, M. E.; Horz, H. P.; Gomes, B. P. F. A.; Conrads, G., In vivo evaluation of microbial reduction after chemo-mechanical preparation of human root canals containing necrotic pulp tissue. International Endodontic Journal 2006, 39, (6), 484–492. https://doi.org/10.1111/j.1365-2591.2006.01121.x
- 37. Machado, F. P.; Khoury, R. D.; Toia, C. C.; Flores Orozco, E. I.; de Oliveira, F. E.; de Oliveira, L. D.; da Rosa Cardoso, F. G.; Valera, M. C., Primary versus post-treatment apical periodontitis: microbial composition, lipopolysaccharides and lipoteichoic acid levels, signs and symptoms. Clinical Oral Investigations 2020, 24, (9), 3169–3179. https://doi.org/10.1007/s00784-019-03191-6
- 38. Sathorn, C.; Parashos, P.; Messer, H. H., How useful is root canal culturing in predicting treatment outcome? J Endod 2007, 33, (3), 220–5. https://doi.org/10.1016/j.joen.2006.11.006
- 39. Basam, R. C.; Garlapati, R.; Vemuri, S.; Bolla, N., Evaluation of efficacy of SmartLite Pro EndoActivator sonic activation using adenosine triphosphate bioluminescence meter: A randomized clinical trial. Journal of Conservative Dentistry and Endodontics 2025, 28(7), 619–625. https://doi.org/10.4103/JCDE.JCDE_235_25 https://doi.org/10.4103/JCDE.JCDE_235_25
